Блог вчителя інформатики Коваля Артема
Сторінки
Головна сторінка
Навчальні програми
Календарне планування
Відкриті уроки
ДПА
Олімпіади
Цікава інформатика
Книжкова полиця
Документація кабінету
Програмне забезпечення
8-118. Числові та рекурентні послідовності
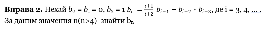
Аналогічне завдання:
Немає коментарів:
Дописати коментар
Головна сторінка
Підписатися на:
Коментарі (Atom)
Немає коментарів:
Дописати коментар